2019/12/2
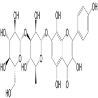
【CAS号】: 86831-54-1
【分子式】: C27H30O16
【分子量】: 610.52
【存储条件】: 2-8℃
【结构类型】: Flavonols/Flavanonols
【中文名】: 红景天素
【英文名】: Rhodiosin
【中文副名】:
【英文副名】: Herbacetin-7-O-(3''-O-β-D-glucopyranoside)-α-L-rhamnopyranoside
【溶解性】: Alcohol water mixed solvent
【来源】:大花红红景天
滁州仕诺达生物科技有限公司 版权所有 皖ICP备19019595号-1 免责声明
