2019/12/2
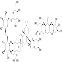
【CAS号】: 237068-41-6
【分子式】: C69H112O38
【分子量】: 1549.2
【存储条件】: 2-8℃
【结构类型】: Triterpenoids
【中文名】: 桔梗皂苷E
【英文名】: Platycoside E
【中文副名】:
【英文副名】:
【溶解性】: Methanol; DMSO; Water
【来源】:桔梗
滁州仕诺达生物科技有限公司 版权所有 皖ICP备19019595号-1 免责声明
