2019/11/19
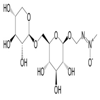
【CAS号】: 6327-93-1
【分子式】: C13H24N2O11
【分子量】: 384.34
【存储条件】: 2-8℃
【结构类型】: Other Alkaloids
【中文名】: 甲基氧化偶氮甲醇樱草糖苷
【英文名】: Macrozamin
【中文副名】: 大泽明素,大泽米苷
【英文副名】: (2-Methyl-2-oxidodiazenyl)methyl 6-O-β-D-xylopyranosyl-β-D-glucopyranoside
【溶解性】: Water
【来源】:暂无
滁州仕诺达生物科技有限公司 版权所有 皖ICP备19019595号-1 免责声明
