2019/11/19
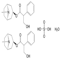
【CAS号】: 5908-99-6
【分子式】: C34H50N2O11S
【分子量】: 694.84
【存储条件】: 2-8℃
【结构类型】: Tropanes
【中文名】: 硫酸阿托品一水合物
【英文名】: Atropine sulfate monohydrate
【中文副名】:
【英文副名】: Atropine sulfate hydrate
【溶解性】: Methanol; Water; DMSO
【来源】:暂无
滁州仕诺达生物科技有限公司 版权所有 皖ICP备19019595号-1 免责声明
