2019/11/19
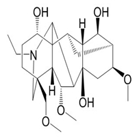
【CAS号】: 466-26-2
【分子式】: C24H39NO6
【分子量】: 437.58
【存储条件】: 2-8℃
【结构类型】: Tropanes
【中文名】: 雪上一枝蒿乙素
【英文名】: Bullatine B
【中文副名】: 尼奥宁
【英文副名】: Neoline,Dideacetyldelphisine,Xuan-Wu 3
【溶解性】: Methanol; Acetontrile; Water; DMSO
【来源】:乌头
滁州仕诺达生物科技有限公司 版权所有 皖ICP备19019595号-1 免责声明
