480

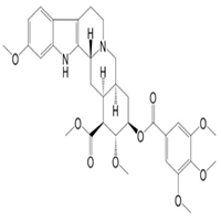
50-55-5,利血平

2019/11/19

生物碱-吲哚类生物碱

CAS号】:  50-55-5

【分子式】:  C33H40N2O9

【分子量】:  608.69

【存储条件】:  2-8℃

【结构类型】:  Indoles

【中文名】:  利血平

【英文名】:  Reserpine

【中文副名】:  血安平,蛇根碱

【英文副名】:  Anquil,Apoplon,Banasil,Bioserpine,Carpacil,Crystoserpine,Deserpine,Elserpine,Eserpine,Eskaserp,Hipos...

【溶解性】:  Chloroform; Acetone

【来源】:长春花萝芙木


下一个

87-52-5,芦竹碱

上一个

479-41-4,靛玉红