2019/11/19
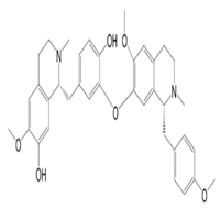
【CAS号】: 6817-41-0
【分子式】: C37H42N2O6
【分子量】: 610.75
【存储条件】: 2-8℃
【结构类型】: Quinolines/Isoquinolines
【中文名】: 异莲心碱
【英文名】: Isoliensinine
【中文副名】:
【英文副名】: (+)-Isoliensinine, Isoliensinin
【溶解性】: N/A
【来源】:莲
滁州仕诺达生物科技有限公司 版权所有 皖ICP备19019595号-1 免责声明
