2019/11/13
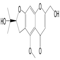
【CAS号】: 37921-38-3
【分子式】: C16H18O6
【分子量】: 306.31
【存储条件】: -20℃
【结构类型】: Chromones
【中文名】: 升麻素
【英文名】: Cimifugin
【中文副名】:
【英文副名】: Cimitin,Cimifugin
【溶解性】: Methanol
【来源】:拐芹、防风、升麻、麻风树
36052-37-6,山姜素
529-44-2,杨梅素
向您推荐
长按屏幕
保存至相册分享至朋友圈
滁州仕诺达生物科技有限公司 版权所有 皖ICP备19019595号-1 免责声明