2019/11/13
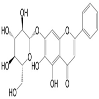
【CAS号】: 57396-78-8
【分子式】: C21H20O10
【分子量】: 432.38
【存储条件】: 2-8℃
【结构类型】: Flavones/Flavanones
【中文名】: 木蝴蝶苷A
【英文名】: Oroxin A
【中文副名】: 黄芩素-7-O-葡萄糖苷
【英文副名】: 5,6,7-Trihydroxyflavone 7-O-β-D-glucopyranoside,Baicalein 7-O-glucopyranoside,Baicalein 7-O-β-D-gluc...
【溶解性】: Methanol; Ethanol; DMF; DMSO
【来源】:木蝴蝶
滁州仕诺达生物科技有限公司 版权所有 皖ICP备19019595号-1 免责声明
