2019/11/13
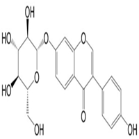
【CAS号】: 552-66-9
【分子式】: C21H20O9
【分子量】: 416.38
【存储条件】: 2-8℃
【结构类型】: Isoflavones/Isoflavanones
【中文名】: 大豆苷
【英文名】: Daidzin
【中文副名】: 黄豆苷,大豆黄酮苷
【英文副名】: Daidzoside,Daidzein 7-glucoside,Daidzein 7-O-glucoside
【溶解性】: Methanol
【来源】:补骨脂、葛麻姆、白英、红车轴草、刺五加、
滁州仕诺达生物科技有限公司 版权所有 皖ICP备19019595号-1 免责声明
