2019/11/13
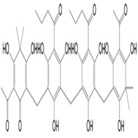
【CAS号】: 12777-70-7
【分子式】: C43H48O16
【分子量】: 820.84
【存储条件】: N/A
【结构类型】: Tannins
【中文名】: 绵马贯众素ABBA
【英文名】: Dryocrassin ABBA
【中文副名】: 东北贯众素,绵马贯众素,粗蕨素
【英文副名】: Dryocrassin
【溶解性】: N/A
【来源】:粗茎鳞毛蕨
55481-88-4,大叶茜草素
478-28-4,伪绵马素
向您推荐
长按屏幕
保存至相册分享至朋友圈
滁州仕诺达生物科技有限公司 版权所有 皖ICP备19019595号-1 免责声明