2019/11/13
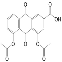
【CAS号】: 13739-02-1
【分子式】: C19H12O8
【分子量】: 368.30
【存储条件】: 2-8℃
【结构类型】: Quinones
【中文名】: 双醋瑞因
【英文名】: Diacerein
【中文副名】: 二乙酰基大黄酸
【英文副名】: Rhein, diacetate,4,5-Diacetylrhein,Artrodar,DAR,Diacerhein,Diacetylrhein,Fisiodar,Osteocerein,SF 277
【溶解性】: DMSO
![]()
滁州仕诺达生物科技有限公司 版权所有 皖ICP备19019595号-1 免责声明
