2019/11/12
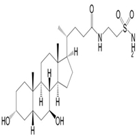
【CAS号】: 14605-22-2
【分子式】: C26H46N2O5S
【分子量】: 498.72
【存储条件】: 2-8℃
【结构类型】: Other Steroids
【中文名】: 牛磺熊去氧胆酸
【英文名】: Tauroursodeoxycholic acid
【中文副名】: 牛磺脱氧胆酸
【英文副名】: Taurolite,UR 906,Ursodeoxycholyltaurine
【溶解性】: N/A
【来源】:黑熊
滁州仕诺达生物科技有限公司 版权所有 皖ICP备19019595号-1 免责声明
