2019/11/12
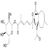
【CAS号】: 98891-44-2
【分子式】: C28H38O11
【分子量】: 550.60
【存储条件】: 2-8℃
【结构类型】: Diterpenoids
【中文名】: 土槿皮甲酸苷
【英文名】: Pseudolaric Acid A-O-β-D- glucopyranoside
【中文副名】: 土槿皮甲酸-O-β- D -葡萄糖苷,土槿皮甲酸葡萄糖苷
【英文副名】: Pseudolaric acid A β-D-glucoside
【溶解性】: N/A
【来源】:金钱松
滁州仕诺达生物科技有限公司 版权所有 皖ICP备19019595号-1 免责声明
