2019/11/12
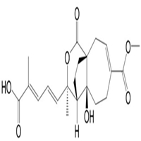
【CAS号】: 82601-41-0
【分子式】: C21H26O7
【分子量】: 390.43
【存储条件】: 2-8℃
【结构类型】: Diterpenoids
【中文名】: 土荆皮丙酸
【英文名】: Pseudolaric Acid C
【中文副名】: 土荆丙酸,土槿皮丙酸
【英文副名】: Deacetylpseudolaric acid B
【溶解性】: Ethyl Acetate
【来源】:金钱松
滁州仕诺达生物科技有限公司 版权所有 皖ICP备19019595号-1 免责声明
