2019/11/11
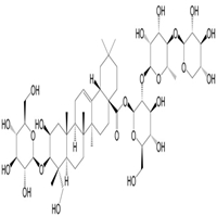
【CAS号】: 882664-74-6
【分子式】: C53H86O23
【分子量】: 1091.5
【存储条件】: 2-8℃
【结构类型】: Triterpenoids
【中文名】: 瓜子金皂苷己
【英文名】: Polygalasaponin F
【溶解性】: Methanol; Water
【来源】:瓜子金
瓜子金皂苷V
橄榄苦苷
向您推荐
长按屏幕
保存至相册分享至朋友圈
滁州仕诺达生物科技有限公司 版权所有 皖ICP备19019595号-1 免责声明