2019/11/11
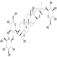
【CAS号】: 156764-82-8
【分子式】: C48H82O20
【分子量】: 979.16
【存储条件】: 2-8℃
【结构类型】: Triterpenoids
【中文名】: 凤仙萜四醇苷B
【英文名】: Hosenkoside B
【英文副名】: Spiro[chrysene-2(1H),3'(4'H)-[2H]pyran], β-D-glucopyranoside deriv
【溶解性】: Methanol
【来源】:凤仙花
滁州仕诺达生物科技有限公司 版权所有 皖ICP备19019595号-1 免责声明
